![]() |
| Nhận thức của CBYT ngoài công lập về tổ chức Công đoàn chưa cao nên tỷ lệ CBYT ngoài công lập tham gia tổ chức Công đoàn thấp. Do đó, đổi mới phương thức tập hợp NLĐ tham gia tổ chức Công đoàn giai đoạn thực hiện CPTPP, EVFTA là hết sức cần thiết. Nguồn: ictsunflower.com |
Đối tượng, phương pháp và kết quả nghiên cứu
Xuất phát từ thực tế trên, nhóm nghiên cứu tiến hành nghiên cứu đề tài tại 3 TP: Hồ Chí Minh, Hà Nội, Đà Nẵng với 543 NLĐ ở CSYT ngoài công lập (đã thành lập công đoàn và chưa thành lập) từ tháng 6-9/2020. 543 NLĐ làm tại 24 CSYT tư nhân, gồm 178 người làm việc tại bệnh viện; 290 người làm việc tại các phòng khám đa khoa và chuyên khoa; 60 người làm ở các doanh nghiệp và 15 người làm ở các loại hình CSYT tư nhân khác
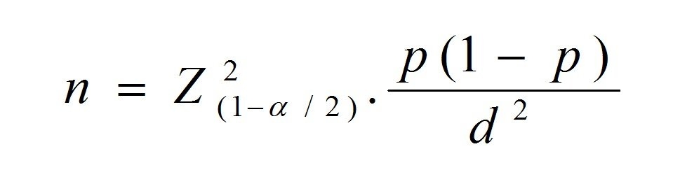
Với phương pháp nghiên cứu dịch tễ học mô tả cắt ngang; kết hợp điều tra định tính (phỏng vấn sâu, thảo luận nhóm) và định lượng (thống kê và xử lý số liệu điều tra); NLĐ mỗi nhóm cần khảo sát được tính theo công thức tính cỡ mẫu theo tỷ lệ:

Trong đó: n là số NLĐ được khảo sát; z là hệ số tin cậy. Với độ tin cậy 95% thì giá trị của z = 1,96; p: tỷ lệ NLĐ hài lòng với hoạt động của CĐCS có nhu cầu tham gia công đoàn/tổ chức đại diện cho NLĐ ở cơ sở; q = 1 - p = 0,5; d: sai số chấp nhận, chọn d = 0,08; DE = 1.5; tỷ lệ từ chối/phiếu không hoàn thành: 5%. Áp dụng công thức trên, cỡ mẫu nhóm đã thành lập công đoàn là 240 người, mỗi tỉnh 80 người chọn có chủ đích cho từng loại hình CSYT ngoài công lập; đối tượng chưa thành lập CĐCS làm tròn là 315 NLĐ, mỗi tỉnh chọn 105 ngẫu nhiên ở 15 đơn vị (phương pháp chọn mẫu nhiều giai đoạn).
Kết quả nghiên cứu cho thấy, tính đến cuối năm 2019, tại 22 tỉnh thành phố đã có trên 31.050 CSYT ngoài công lập, trong đó có 82 bệnh viện; 12.084 phòng khám và 18.884 doanh nghiệp hoạt động trong lĩnh vực y tế. So với cuối năm 2018, số lượng CSYT ngoài công lập tại các tirnh được thống kê đã tăng lên 14,5%. Tuy nhiên, theo thống kê của 39 LĐLĐ tỉnh thành phố, tỷ lệ CSYT ngoài công lập thành lập công đoàn chiếm chỉ 1,3% (670/51.290).
Phân tích 543 NLĐ được điều tra tại 3 tỉnh với đối tượng tại CSYT ngoài công lập đã thành lập công đoàn và chưa thành lập công đoàn thì quyền lợi của người tham gia công đoàn cao hơn đối tượng chưa tham gia về BHXH, BHYT và bảo hiểm tai nạn (xem biểu đồ 1). Cao nhất là tỷ lệ tham gia BHYT 92,9%, cao hơn 74,7% ở các đơn vị chưa tham gia tổ chức Công đoàn.
![]() |
| Biểu đồ 1: Tình hình tham gia các loại bảo hiểm của NLĐ, phân theo tình trạng thành lập CĐCS |
Người tham gia tổ chức Công đoàn ở CSYT ngoài công lập được trang bị bảo hộ lao động (BHLĐ) đầy đủ hơn 65,8% so với 46,7% ở các CSYT chưa tham gia công đoàn (xem biểu đồ 2).
![]() |
| Biểu đồ 2: So sánh mức độ trang bị BHLĐ trong các CSYT ngoài công lập |
NLĐ tham gia công đoàn, ngoài lương, tiền chuyên cần, tiền phụ cấp, tiền độc hại cao hơn ở các CSYT chưa có tổ chức Công đoàn (xem biểu đồ 3). Cao nhất là tiền độc hại 41,6% so với 5,49%.
![]() |
Biểu đồ 3: So sánh các khoản thu nhập ngoài lương của NLĐ, phân theo đơn vị có công đoàn và đơn vị chưa có công đoàn |
Kết quả khảo sát ở đơn vị chưa thành lập công đoàn cho thấy, có 64,5% cho biết họ không mong muốn thành lập tổ chức đại diện NLĐ trong đơn vị mình (xem biểu đồ 4).
![]() |
| Biểu đồ 4: Mong muốn thành lập tổ chức đại diện NLĐ trong các CSYT ngoài công lập |
Tỷ lệ trung bình 72,5% muốn thành lập tổ chức Công đoàn theo hình thức kết hợp phương pháp truyền thống và phương pháp mới (xem bảng 1).
Kết quả khảo sát cho thấy, mặc dù đơn vị chưa có tổ chức CĐCS, nhưng đã có 87,2% NLĐ tham gia khảo sát đã từng nghe nói đến tổ chức Công đoàn, nhưng nhận thức về tổ chức Công đoàn thì chỉ 12,8%.
Một đặc trưng cơ bản của các Hiệp định tự do thương mại thế hệ mới là đưa những tiêu chuẩn rất mới gắn với quyền con người với các vấn đề xã hội và vấn đề quản trị quốc gia vào hiệp định. Việt Nam đã cam kết thể hiện cụ thể hóa tại Điều 170, Bộ luật Lao động năm 2019 về quyền thành lập, gia nhập và tham gia hoạt động của tổ chức đại diện NLĐ tại cơ sở, cho phép NLĐ tại một doanh nghiệp được thành lập “tổ chức đại diện của NLĐ” mà không cần phải có sự ủy quyền trước từ bất kỳ tổ chức hay cá nhân nào.
CSYT ngoài công lập gia tăng 14,5%/ năm, số lượng CĐCS trong các CSYT ngoài công lập đã tăng lên 11,3%, tỷ lệ CSYT ngoài công lập tham gia công đoàn rất thấp (1,9%). Khảo sát cho thấy, 65% NLĐ không muốn tham gia tổ chức NLĐ mới, đây là một thuận lợi cho tổ chức Công đoàn Việt Nam. 72,5% NLĐ mong muốn vào tổ chức Công đoàn bằng cả hai phương thức kết hợp cũ và mới. Lý do họ muốn tham gia tổ chức Công đoàn Việt Nam là có lợi hơn so với không tham gia tổ chức Công đoàn tại các biểu đồ 1,2,3 về các chế độ BHXH, BHYT, bảo hiểm tai nạn và đặc biệt là trang thiết bị bảo hộ và chế độ độc hại.
Bảng 1: Các hình thức vận động thành lập CĐCS theo mô hình hoạt động của các CSYT ngoài công lập
| Cách thức vận động | Phòng khám | Bệnh viện | Doanh nghiệp | Tỷ lệ chung |
| Công đoàn cấp trên tiếp cận NSDLĐ và đề nghị thành lập CĐCS. | 12.9% | 50.0% | 31.6% | 18.0% |
| Công đoàn cấp trên tiếp cận và vận động NLĐ tự nguyện thành lập CĐCS. | 9.8% | 10.0% | 0.0% | 9.5% |
| Kết hợp cả 2 hình thức trên | 77.3% | 40.0% | 68.4% | 72.5% |
Như vậy, tập hợp lực lượng lao động tại các CSYT ngoài công lập là một mục tiêu cấp bách. Giải pháp để tập hợp được lực lương này chính là đồng bộ về văn bản, hướng dẫn của Tổng Liên đoàn về việc tập hợp theo phương pháp kết hợp cũ và mới. Tại 670 CĐCS năm 2019 có 51.290 người (trung bình 77 đoàn viên 1 CĐCS); trên thực tế NLĐ trong các CSYT ngoài công lập mong muốn thành lập các công đoàn ghép theo các lĩnh vực chuyên khoa của ngành. Hiện nay mô hình công đoàn ghép này cũng chưa có hướng dẫn của Tổng Liên đoàn, cần được thí điểm mô hình để nhẩn rộng.
Về công tác tuyên truyền, 87,2% NLĐ tham gia khảo sát đã từng nghe nói đến tổ chức Công đoàn, nhưng nhận thức về tổ chức Công đoàn thì chỉ 12,8%. Do đó, tuyên truyền cho đối tượng lao động cần được quan tâm đầu tiên để họ hiểu biết đầy đủ về hệ thống công đoàn, từ đó họ mới có mong muốn tham gia, thành lập ban vận động. Không chỉ có NLĐ, NSDLĐ cũng cần hiểu biết đầy đủ về quyền, nghĩa vụ và trách nhiệm của họ.
Cần có sự chỉ đạo thống nhất của cấp ủy Đảng các địa phương doanh nghiệp, kết hợp với cơ quan quản lý nhà nước về y tế tại địa phương để nắm bắt chính sách các CSYT được cấp phép hoạt động để có kế hoạch phối hợp tuyên truyền vận động tham gia tổ chức Công đoàn Việt Nam. Ngoài ra, có rất nhiều hội nghề nghiệp tại địa phương, có thể thông qua kênh để tuyên truyền NLĐ ở CSYT ngoài công lập tham gia tổ chức Công đoàn và phối hợp bảo vệ NLĐ.
![]() |
Lãnh đạo LĐLĐ tỉnh Kon Tum và Phó Chủ tịch Công đoàn ngành Y tế tỉnh thăm, động viên cán bộ y tế làm nhiệm vụ phòng, chống dịch Covid-19 tại Chốt số 6 huyện Tu Mơ Rông . Nguồn: syt.kontum.gov.vn |
Kết luận
1. CSYT ngoài công lập gia tăng 14,5%/năm; số lượng CĐCS trong các CSYT ngoài công lập đã tăng 11,3%, nhưng tỷ lệ CSYT ngoài công lập tham gia công đoàn rất thấp (1,9%).
2. Nhận thức về tổ chức Công đoàn chưa đầy đủ, 87,2% NLĐ tham gia khảo sát đã từng nghe nói đến tổ chức Công đoàn, nhưng nhận thức về tổ chức Công đoàn thì chỉ có 12,8%.
3. So sánh giữa NLĐ tại CSYT có công đoàn thì các chế độ BHXH, BHYT, bảo hiểm tai nạn và đặc biệt là trang thiết bị bảo hộ và chế độ độc hại cao hơn.
4. Khảo sát cho thấy, 65% NLĐ không muốn tham gia tổ chức của NLĐ mới, đây là một thuận lợi cho tổ chức Công đoàn Việt Nam. 72,5% NLĐ mong muốn vào tổ chức Công đoàn bằng cả hai phương thức cũ và mới.
Nghiên cứu chỉ ra việc tập hợp NLĐ ở CSYT ngoài công lập là yêu cầu cấp bách và cần phải đổi mới phương thức tập hợp theo hướng công đoàn ghép các lĩnh vực chuyên ngành; kết hợp với hội nghề nghiệp, cơ quan quản lý dưới sự chỉ đạo của cấp ủy để tập hợp NLĐ tham gia tổ chức Công đoàn; cần kết hợp cả hai phương pháp tập hợp truyền thống và phương pháp mới.
![]() |
| Tuyên truyền cho NLĐ hiểu biết đầy đủ về hệ thống công đoàn, từ đó NLĐ mới có mong muốn tham gia tổ chức Công đoàn. Ảnh: Ngọc Thủy |
Khuyến nghị
Tổng LĐLĐ Việt Nam cần có văn bản hướng dẫn đầy đủ, đồng bộ về phương thức tập hợp lồng ghép mới và cũ; hướng dẫn về thành lập CĐCS ghép; tăng cường tuyên truyền đầy đủ cho cho NLĐ, NSDLĐ; đào tạo cho đội ngũ cán bộ công đoàn cấp trên chuyên nghiệp để hướng dẫn ban vận động.
Xây dựng kế hoạch tổng thể và giao chỉ tiêu thành lập công đoàn CSYT ngoài công lập cho LĐLĐ các địa phương, Công đoàn ngành Y tế hàng năm. Chỉ đạo công đoàn các cấp phối hợp với hội nghề nghiệp, cơ quan quản lý hành nghề địa phương tập hợp NLĐ tham gia tổ chức Công đoàn.
Tài liệu tham khảo
- Jacques Bourgeois, WilmerHale và Trường cao đẳng Châu Âu (2013): Một phân tích so sánh về các quy định được lựa chọn trong các hiệp định thương mại tự do - phần “Quy định FTA về tiêu chuẩn lao động”.
- Tổng LĐLĐ Việt Nam - FES (Hà Nội, 26/2/2014): Hội thảo quốc tế “Vấn đề lao động và vai trò của công đoàn trong hiệp định thương mại tự do (FTA) EU với các nước”.
- TS. Phạm Thị Thu Lan (2020), Thực hiện cam kết về lao động trong NAFTA: Thực tiễn Mexico và bài học cho Việt Nam, Nxb Lao động, HN.
- ThS. Nguyễn Ngọc Sơn (2014), Tình hình tổ chức, cán bộ công đoàn chuyên trách công đoàn cấp trên trực tiếp cơ sở, đề xuất một số giải pháp nâng cao năng lực hoạt động đáp ứng yêu cầu mới.
- Viện Công nhân và Công đoàn (2015), “Đổi mới mô hình tổ chức, nội dung và phương thức hoạt động công đoàn hướng về đoàn viên và NLĐ thời gian tới”, Đề tài cấp TLĐ.
- Viện Công nhân và Công đoàn (2015), “Dự báo tác động tới việc làm, QHLĐ và hoạt động công đoàn khi Việt Nam gia nhập các hiệp định thương mại tự do” Đề tài cấp TLĐ.
Chú thích
- PGS. TS. Phạm Thanh Bình, Chủ tịch Công đoàn Y tế Việt Nam;
- TS. Hoàng Thị Mỹ Hạnh, Nghiên cứu viên Viện Chiến lược và Chính sách Y tế;
- TS. Nguyễn Đức Hữu, Giảng viên Trường Đại học Công đoàn;
- ThS. Nguyễn Thanh Tùng, Phó Trưởng phòng Nghiên cứu khoa học, Viện Công nhân và Công đoàn
- CN. Trần Thị Thu Hiền, Ban Tổ chức Công đoàn Y tế Việt Nam.
53 nhân viên BV Bệnh Nhiệt đới TP. Hồ Chí Minh dương tính với SARS-CoV-2 sau khi tiêm vaccine. Vậy vaccine có thực sự là ... | ||
|
Đọc nhiều
Tin mới hơn
Lý luận gắn với thực tiễn theo tư tưởng Hồ Chí Minh
Tăng cường khối đoàn kết xây dựng Đảng vững mạnh theo tư tưởng, đạo đức, phong cách Hồ Chí Minh
Phát huy nguyên tắc tập thể lãnh đạo, cá nhân phụ trách trong công tác xây dựng Đảng
Tin tức khác
Những giá trị lý luận về phong trào cách mạng và Đảng Cộng sản ở Việt Nam của đồng chí Nguyễn Đức Cảnh
Vai trò của đồng chí Nguyễn Đức Cảnh trong việc sáng lập và lãnh đạo Tổng Công hội Đỏ Bắc Kỳ
Đồng chí Nguyễn Đức Cảnh và những cống hiến lịch sử thúc đẩy Cách mạng Việt Nam
Di sản vượt thời gian của đồng chí Hoàng Quốc Việt
Vẹn nguyên tinh thần của lãnh tụ Nguyễn Đức Cảnh






